BILANGAN NATURAL
1. Jumlah n bilangan natural pertama
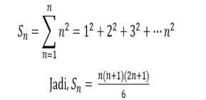
2. Jumlah kuadrat n bilangan natural pertama
3. Jumlah pangkat tiga n bilangan natural pertama
1. Jumlah n bilangan natural pertama
2. Jumlah kuadrat n bilangan natural pertama
3. Jumlah pangkat tiga n bilangan natural pertama